![]()
什么是EMA指数平均数指标下载。什么是EMA指数平均数指标:什么是LMA低价平均线指标下载
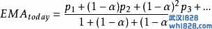
EMA的英文全称为“Exponential Moving Average”,英文简称为“EXPMA/EMA”,中文名为“指数平均数指标/指数平均数/指数平滑移动平均线”。EMA指标作为MA移动平均线指标的一种延伸,其主要是以指数式递减加权后的移动平均线。同理,EMA指标也是趋势指标中的一种,通过对收盘价进行算术平均并加以分析,进而推断出未来走势的变动趋势。 EMA指数平均数指标的优势: EMA指标作为趋势指标,与其他趋势指标MACD指标或者普通MA移动平均线指标最大的不同是其设计中着重考虑了价格当天(当期)行情的权重,能弥补其他指标针对趋势的滞后性。同时也能进一步消除DMA指标等动态指标的提前性,整体上提高趋势判断的准确性。EMA指标通过对参数进行有效地设定,可以发挥出比均线指标更为直观和有用的信息,因为其稳定性强,波动性小。 EMA指数平均数指标的计算原理: 我们先来看一下EXPMA指标的计算公式,并以此对指标的特征作进一步的了解: EXPMA=(当日或当期收盘价-上一日或上期EXPMA)/N+上一日或上期EXPMA 其中,首次上期EXPMA值为上一期收盘价,N为天数。 由于计算公式是递推的,简单的介绍下为: EMAtoday=α * Pricetoday + ( 1 - α ) * EMAyesterday; 其中,α为平滑指数,一般取作2/(N+1)。在计算MACD指标时,EMA计算中的N一般选取12和26天,因此α相应为2/13和2/27。 当公式不断递归,直至EMA1出现,EMA1是没有定义的。EMA1 的取值有几种不同的方法,通常情况下取EMA1为Price1另外有的技术是将EMA1取值为开头4到5个数值的均值。 在计算机递推计算时,可以写作: EMAtoday=α * ( Pricetoday - EMAyesterday ) + EMAyesterday; 将EMAyesterday按照类似方法递推展开,可以得到:其中,p1表示今天价格,p2表示昨天价格,以此类推。 将平滑系数α 展开,可以得到: 简单的说:以上计算就直接交给MT4程序去计算,而需要注意的就是时间越靠近当今时刻,它的权重越大,说明EMA函数对近期的价格加强了权重比,更能及时反映近期价格波动情况。EMA指标比较适合短期或者中期的投资者,对长线投资者可能作用不大。 常见EMA指数平均数指标图表详解:点击下方图片放大预览 图表中指标为:EMAOSMA,EMA交易信号提示4,EMA零线指标提示1,EMA趋势指标,EMA通道。
什么是EMA指数平均数指标下载。什么是LMA低价平均线指标下载 外汇EA网--是一家专门外汇平台提供平台免费学习外汇开户、外汇交易知识,如何炒外汇开户、外汇培训,提供外汇交易教程,外汇技术面,外汇基础面,外汇经纪商,外汇图表,外汇赠金活动,外汇MT4交易平台下载,外汇软件下载,外汇交易技巧、外汇书籍、外汇技术指标分析 ,外汇ea自动交易系统、外汇交易策略,外汇学习视频、外盘期货开户、外汇高手,外汇编程,外汇技术面分析,外汇展会,外汇基础面分析,外汇政策,外汇活动主要是以公平公正的角度传达做外汇需要的心态技巧。
已售:0

