![]()
江湖指标下载_江湖指标外汇指标下载.江湖指标下载_江湖指标外汇指标下载文件介绍: 本指标实盘、模拟盘皆可以使用,没有时间限制。下载之后可直接安装,无需注册.
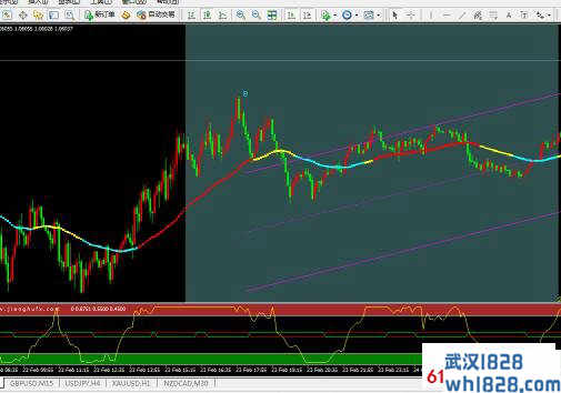
本指标为我团队开发,经过长期的实盘、模拟盘测试,在震荡行情中适合操作者刷单,严格设置止损位,能达到不错的收益成果! 外汇EA网小编推荐:江湖指标下载_江湖指标外汇指标下载 界面语言: 简体中文 文件类型: 国产软件 运行环境: XP / WIN7 / WIN8 / WIN10 授权方式: 共享软件 文件大小: 128 KB 江湖指标下载_江湖指标外汇指标下载江湖指标下载_江湖指标外汇指标下载 上图是用实盘操作的,由于不同软件,这个XM就没有安装指标,但是操作都是按照指标来进行! 本人将此指标分享给大家,同时也欢迎各大爱好外汇的研究者一起讨论行情,在市场中一起盈利共存。
外汇EA网--是一家专门提供外汇学习平台免费学习外汇开户、炒外汇入门,如何炒外汇、外汇培训,外汇是什么,外汇学习,提供外汇交易教程,外汇技术面,外汇基础面,外汇经纪商,外汇图表. 外汇EA,外汇MT4下载,外汇工具,外汇交易技巧、外汇书籍、外汇技术指标分析,炒外汇书籍下载 ,外汇平台活动,外汇学习视频、外汇高手,外汇技巧,外汇编程,外汇展会,外汇政策,外汇活动主要是以公平公正的角度传达做外汇需要的心态技巧。已售:0

