![]()
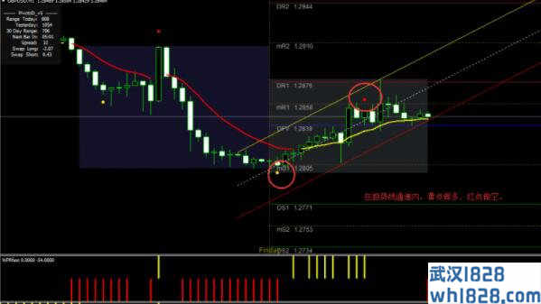
Trend Channel外汇交易系统下载。Trend Channel外汇交易系统介绍:该交易系统包含Auto_Trend指标,Color_MA指标,PivotsD_v5 (Black)指标,SHI-SIGNAL指标,TrendLine指标,WPRfast指标,WPRslow指标等技术指标。该交易系统适用于波段行情。Trend Dominator外汇交易系统下载
Trend Channel外汇交易策略: A. 交易规则 在趋势线通道内,黄点做多,红点做空。 B. 止盈:可根据实际情况自行设置。 C. 止损:可根据实际情况自行设置。 D. 进场时机:满足以上所有条件。 E. 离场时机:根据止盈或止损离场。或当指标出现明显反转迹象时可考虑离场。 Trend Channel外汇交易系统适用品种:任何货币对。 Trend Channel外汇交易系统适用周期:1小时图(H1),可考虑尝试其他的时间周期。 Trend Channel外汇交易系统图文教程:点击下方图片放大预览Trend Channel外汇交易系统下载. BrainTrend外汇交易系统下载 外汇EA网--是一家专门外汇平台提供平台免费学习外汇开户、外汇交易知识,如何炒外汇开户、外汇培训,提供外汇交易教程,外汇技术面,外汇基础面,外汇经纪商,外汇图表,外汇赠金活动,外汇MT4交易平台下载,外汇软件下载,外汇交易技巧、外汇书籍、外汇技术指标分析 ,外汇ea自动交易系统、外汇交易策略,外汇学习视频、外汇高手,外汇技术面分析,外汇基础面分析,外汇政策,外汇活动主要是以公平公正的角度传达做外汇需要的心态技巧。Trend Channel外汇交易系统下载。
已售:0

