![]()
XXL剥头皮外汇交易系统下载。XXL剥头皮外汇交易系统介绍:该交易系统包含趋势强弱复合指标,BBands与RSI复合指标
等。该交易系统适合短线波段高频交易,并不适合长期持仓,不要和1小时(H1)或者4小时(H4)背道而驰。可考虑使用马丁格尔逆向加仓法。XXL剥头皮外汇交易策略:
A.交易规则
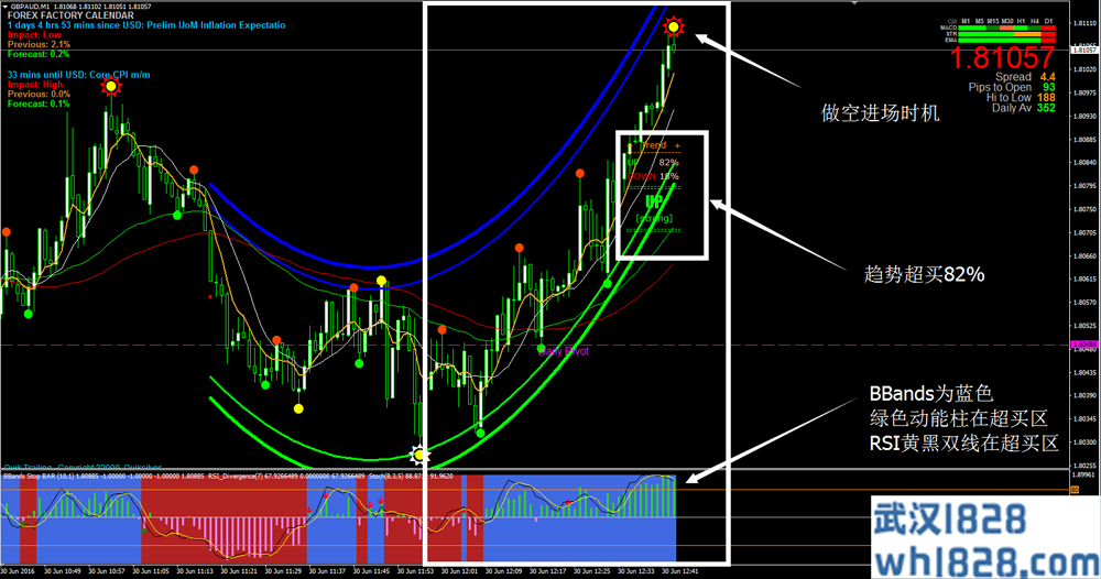
1.做多时机:当下方BBangs Stop BAR指标为红色和红色柱上方出现绿色箭头(如果红色DOWN强度超过80%可忽视有无箭头),同时出现3级信号(黄色点加白色外框),趋势(Trend)显示为红色(DOWN)超过70%,RSI(相对强弱指标)黄线和黑线在超卖区(20以下)。
2.做空时机:当下方BBangs Stop BAR指标为蓝色和绿色柱上方出现红色箭头(如果绿色UP强度超过80%可忽视有无箭头),同时出现3级信号(黄色点加红色外框),趋势(Trend)显示为绿色(UP)超过70%,RSI(相对强弱指标)黄线和黑线在超买区(80以上)。
B.止盈12个点(pips)或者更小的止盈7个点(pips)。
C.止损:45个点(pips)。
D.进场时机:满足以上条件。必须注意超买或者超卖的情况,该为前提条件。
E.离场时机:可根据自行设置的止损离场,但需严格遵守交易规则。
XXL剥头皮外汇交易系统适用品种:任何货币对。
XXL剥头皮外汇交易系统适用周期:1分钟图(M1),5分钟图(M5),可尝试更长的时间周期图。
1.上行波段
2.下行波段
XXL剥头皮外汇交易系统图文教程(汉化版):点击下方图片放大预览。
MT4平台技术指标、模板的安装方法:
MT4安装目录/MQL4/Indicators 为指标文件夹(放置mq4和ex4指标)
MT4安装目录/templates 为模板文件夹(放置tpl模板文件)
然后重新启动MT4平台,你的技术指标或者模板也就安装完毕了。
小编提示:本软件XXL剥头皮外汇交易系统下载。。仅供研究学习和参考之用,任何交易系统都不能保证百分百获利,如果你对MT4指标模板的安装和使用或者英文参数不够了解建议你不要购买!升级VIP高级会员,即可下载本站所有指标和EA,众多交易系统为你保驾护航,仅需几十美金可能改变你亏损的命运!
外汇EA网--是一家专门外汇交易平台提供免费学习、炒外汇如何开户、外汇经纪商、外汇指标系统下载、外汇赠金活动,最好用的外汇指标、外汇技术指标分析 ,最好外汇ea交易系统、主要是以公平公正的角度传达做外汇需要的心态技巧。XXL剥头皮外汇交易系统下载。
已售:0



